- 尿路造影とヨード造影剤
- ヨウ化ナトリウムによる排泄性尿路造影
- 原著論文
- 1923 ヨウ化ナトリウムによる初の排泄性尿路造影
- 有機ヨード造影剤の開発
- 原著論文
- 1929 Uroselectanによる排泄性尿路造影ーSwick
- 1929 Uroselectanによる排泄性尿路造影ーvon Lichtenberg
- 関連事項
- Uroselectanの化学構造
- 関連文献
- 1931,1937 Uroselectanの化学的性状と開発経緯
- 低浸透圧造影剤の開発
- 原著論文
- 1969 低浸透圧造影剤の理論的根拠
- 関連文献
- 2016 非イオン性造影剤開発の背景と歴史
尿路造影とヨード造影剤
ヨウ化ナトリウムによる排泄性尿路造影
X線吸収係数が大きい元素を含む物質を造影剤として利用し,体腔,臓器のコントラストを増強する試みはX線発見直後より動物や人体標本などを使って行なわれた.既に1896年の時点で既に硫化水銀(ヒト屍体)[1],酢酸鉛(モルモット消化管)[2],硫酸カルシウム(ヒト屍体)[3]などの実験例が報告されている.
現在では主流となっているヨード造影剤の初期の歴史は,尿路造影の発展と密接な関係がある.造影剤臨床応用の嚆矢は逆行性尿路造影で,1906年にVoelcker, Lichtenberg[4]が銀コロイド(Collargol)を造影剤とした逆行性腎盂造影を報告している.しかし銀コロイドは組織障害性が強く,死亡例も報告されている.造影剤としてのヨードの利用は,1920年にはCameronがヨウ化ナトリウム,ヨウ化カリウムによる逆行性腎盂造影を報告しているが[5],カテーテル挿入に伴う苦痛や感染の危険は不可避であった.
1923年,Osborneがヨウ化ナトリウムの経静脈性投与による初の排泄性尿路造影を報告した[→原著論文].膀胱はともかく上部尿路の造影は甚だ不十分で,逆行性腎盂造影には遠く及ばない画質であったが,安全確実な尿路造影開発への第一歩であった.
原著論文
図1. ヨウ化ナトリウムによる経静脈性排泄性尿路造影.膀胱の描出は良いが,腎の造影は淡く,尿管は見えていない.
【要旨】従来腎盂造影に使われていた,組織障害性の強い銀コロイド造影剤に替わる造影剤として,ヨウ化ナトリウム(NaI)の経静脈性,経口投与を試みた(図1).それぞれについて造影剤の濃度,撮影のタイミングを詳細に検討して至適条件を求めた.経静脈性投与では,ヨウ化ナトリウム10%溶液を5~20g静注,0.5~3時間後に撮影,経口投与では3gを1時間毎に3回投与,1~2時間後に撮影すると良い.造影により,腎の陰影はわずかに濃度が上昇し,腎盂はさまざまな程度に造影され,尿管は多くの例で追跡できた.膀胱は全例において明瞭に描出された.
【解説】著者のOsborneは皮膚科医で,梅毒の専門医であった.当時,梅毒の治療法としてヨウ化ナトリウム(NaI)の大量投与が行なわれており,この患者にX線撮影を行なうことにより,その排泄性尿路造影剤としての応用を検討した論文である.膀胱は全例において明瞭に描出されたもの,腎盂,尿管は確実とはいえず,腎実質の造影効果はごく淡いものにとどまった.従来の逆行性腎盂造影に比較すればまだ不十分とはいえ,カテーテルを挿入せずに非侵襲的に尿路造影が得られたことは画期的なことであった.
有機ヨード造影剤の開発
ヨード造影剤として最初に利用されたのは無機ヨード化合物のヨウ化ナトリウム(NaI)で,初の脳血管造影を成功させたモニスもこれを使用した.しかし造影効果は弱く,熱感などの副作用も強いことから,より実用的かつ安全な経静脈性造影剤が求められていた.現在広く用いられている有機ヨード造影剤の端緒となったのが,アメリカ人医師Moses Swick(スウィック,1900-85)が開発したUroselectan(ウロセレクタン)である.
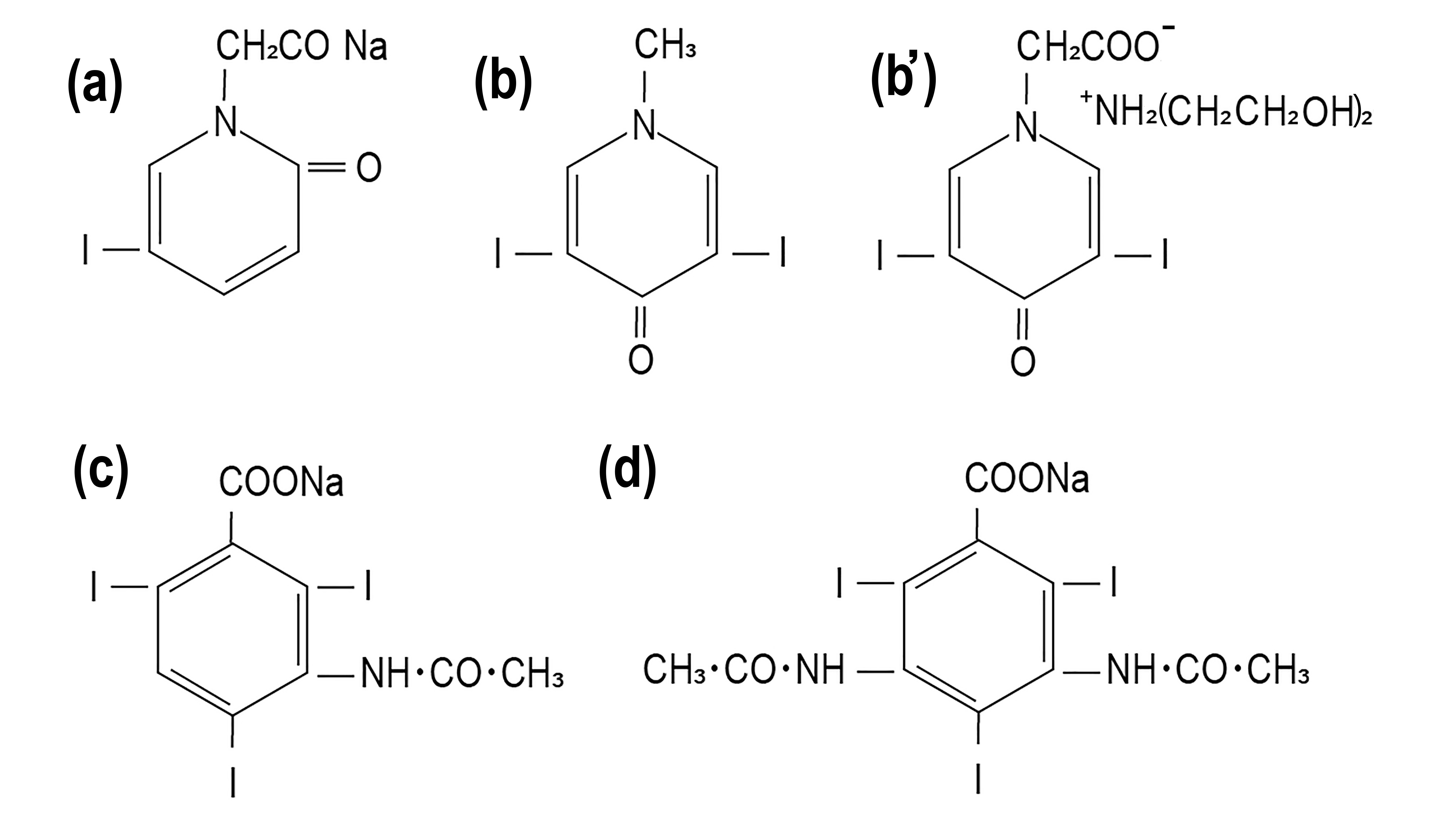
図2. 有機ヨード造影剤.(a)Uroselectan. ピリドン核にヨード1分子を持つ.世界初の有機ヨード造影剤. (b)Uroselectan B, (b') Diodrast. Uroselectranの改良版.ヨード2分子を有する .(c)Urokon.ベンゼン核にヨード3分子を有し,その後のヨード造影剤の基本となった. (d)Conray.Urokonの改良版.非イオン性造影剤の登場まで30年以上にわたって臨床に供された.
Swickはコロンビア大学医学部を卒業後,ハンブルク大学で抗菌剤の研究を行っていた.共同研究者で化学者のArthur Binz(1868-1943)は抗菌薬を開発するにあたり,ベンゼン環のCの1つをNで置換したピリジン,これに二重結合のOを導入したピリドンを経て,これにヒ素,ヨードなど様々残基を加えた化合物を合成していった.スウィックはその抗菌剤としての効果を試験していたが,その中にヨードを含む化合物の中に尿路造影効果を示すものがあることに気づいた.スウィックはこれをさらに追及すべく,当時世界最大規模の泌尿器科を擁するベルリンのSt. Hedwig病院の泌尿器科医 Alexander von Lichtenberg (リヒテンベルク,1880-1949)の下で造影剤の研究を継続した.この結果生まれた Uroselectan はピリドン骨格にカルボン酸基と1分子のヨードを持つもので(図2a),1929年の初報論文には,現在からみても遜色ない明瞭な尿路像が掲載されている(図3).
Uroselectanはヨード1分子を含むが,その後より造影効果に優れ,毒性も低いヨード2分子を含むUroselectan B, Diodrast が登場し(図2b,図2b'),その後20年以上にわたって血管内投与造影剤の基本となった*1.3ヨード分子化にあたっては,安全性の確立したピリドン骨格を捨てる必要がありハードルが高かったが,1952年,マリンクロット社の化学者Vernon H. WallingfordがUrokonを開発し(図2c)[8],その後さらにその改良版Urografin[9],Conray[10]が登場し(図2d),1980年代に非イオン性造影剤が普及するまで,30年以上にわたって臨床に供された.
Uroselectanの開発は,単に尿路造影を飛躍的に進歩させたにとどまらずその後の造影剤の歴史を塗り替える画期的なもので,ノーベル賞候補にも昇ったほどである.実際にこれを研究,開発したのはSwickであったが,当時のドイツ医学界の慣例ではこの業績は上司のvon Lichtenbergに帰されることになった.Swickはこれに異を唱え,学会誌編集者も交えた協議の末,Swickの単著[→原著論文],Lichtenbergを筆頭とする共著[→原著論文],2本の論文を並列で発表することになった*2.しかし,SwickのUroselectan開発における功績は,母国アメリカですら認められず,その栄誉と名声はLichtenberg が独占する状態が長く続いた.Swickの業績が正当に評価されたのはUroselectan発明後35年を経た1965年のことで,米国泌尿器科学会はSwickに泌尿器科学に顕著な貢献をした研究者に贈られるヴァレンタイン賞 (Ferdinand C. Valentine Medal)を授与するとともに謝罪し,その功績をあらためて認定した[6]
なお,Swickはアメリカに帰国後,ニューヨークのMount Sinai Hospitalで研究を続け,マリンクロット社と協力して新しい造影剤の開発に取り組み,ベンゼン環にヨード基を加えたhippuranを開発した.hippuranは造影効果が弱く,ベンゼン骨格の2ヨード分子化による毒性増加を克服することができず,X線造影剤としては実用化に至らなかったが,その後パラアミノ馬尿酸(para-amino hippuric acid, PAH)として腎血流量試験薬として広く使われた.またこの時の開発経験が3ヨード分子造影剤Urokon開発に大きく貢献した[11].
図3.スギウロン
*1 Uroselectanは日本でも紹介されたが高価であったことから,1930年に杉井善雄(東京大学薬学科)は新たな造影剤を開発し,第一製薬(株)からスギウロンとして発売され広く利用された.スギウロンはヨード2分子を有し,Diodrastとほぼ同構造であった(図3) [12,13].
*2 全くの偶然であるが,この論文はForßmannによる世界初の 右心カテーテル法の論文 の直後のページに掲載されている.
原著論文
図4. Uroselectanによる排泄性尿路造影.現在の水準から見ても良好な画質である.
【要旨】Binzが抗菌剤として開発したSelectan-Neutralを動物,ついでヒトに投与し,頭痛,嘔気,嘔吐など軽度の副作用をみるのみで安全であることをまず確認した.しかし造影能はまだ不十分であった.Binzが化学構造に手を加えて新たに作り出したUroselectanは溶解性が大きく,充分量のヨードを含み,造影能も良好であった.20ccを3~5分かけて静注し,5~10分後に初回,ついで30分後間隔で2回のX線撮影を行ない,全例において明瞭な尿路造影が得られた.
【解説】前述のように論文発表の優先権を巡る議論の末,研究の直接の担当者であるアメリカ人医師Swickの単著による報告である.供覧されている画像は,現在の排泄性尿路造影と比較しても遜色ないもので,腎盂~尿管~膀胱が明瞭に造影され,水腎症などの病態もよく描出されている(図4).カテーテルを使用せずに尿路系全体を簡便に描出できる検査法の確立は,まさに画期的であった.ただし,Uroselectanの構造,性状などについては全く触れられておらず,これについてはBinzによる後年の総説を待つ必要があった.
【要旨】Uroselectanによる排泄性尿路造影により,良好な画像が得られ,陰影から尿路の形態のみならず,腎機能を予測できる可能性もある.画像は全例において臨床像と良く一致した.症例は,外科的腎疾患のほとんどの疾患を含んでいる.84症例を対象として,61例(75%)で治療に結びつく情報が得られ,22例では膀胱鏡,カテーテル造影が必要であった.75症例において手術適応の決定に役立つ機能的評価が得られた.下部尿路に障害があり,直接腎盂造影ができない場合も上部尿路が評価できる.しかし腎機能低下の場合は造影されず,依然として直接腎盂造影が必要であり,画質もその方が良好である.早期相,後期相を比較することにより腎機能を推定できる.尿管カテーテルを使用せず,経静脈性検査により,本法は,最小限の侵襲で病態を知ることができ,泌尿器科臨床の枠組みを大きく変えることになるであろう.
【解説】前述のような経緯を経て,研究の指導者,泌尿器科医のvon Lichtenbergを筆頭著者,実際の担当者Swickを共著者として,前報の直後に並載された論文である.Swickの論文の内容を受けて,非侵襲的に尿路の形態のみならず機能を評価できる排泄性尿路造影が,泌尿器科検査の流れを変えうることを強調し,その将来性を高く評価する総論的な内容である.形態評価よりむしろ腎機能評価に比重が置かれた記載は,現在からみるとやや意外に感じられる.いくつかの症例について言及しているが写真は掲載されておらず,手技をふくめあまり具体的な情報は書かれていない.まだSwickの論文と同じく,Uroselectanの性状については全く触れられていない.
冒頭で,以前に「経静脈性尿路造影の展望について悲観的な見解を述べた」ことについて言い訳めいた事を述べているが,これは同年ドイツ泌尿器科学会でRosenoのNaIによる排泄性尿路造影の発表に対する発言をさしたもので[7],排泄性尿路造影は良い造影剤が開発できない限り直接腎盂造影に変わり得ないと発言した直後に,自らの研究室でまさにそのような造影剤が開発されたことになる.この点については,後掲のBinzの論文でも触れられている.
関連事項
Uroselectanの化学構造
前述の通り,初の有機ヨード造影剤の有用性を報告した前掲のSwickらの論文は,肝心な新しい物質Uroselectanがどういう物質なのか,まったく触れていない.開発者の化学者Binzは,梅毒治療薬を求めて数多くのピリジン,ピリドン誘導体を合成する中で,偶然そのひとつが造影剤として有用であることをLichtwitzによる臨床試験の過程で知ったもので,副次的な業績であったためかとりたててこの物質に関して特に原著論文を著していない.結局その化学的な特徴や開発経緯が明らかとなったのは,BinzがSwickらの論文発表の2年後,1931年に行なったアメリカ泌尿器科学会の招待講演であった.その後さらに詳細を知りたいという声に応えて,1937年ドイツ泌尿器科学会で後年行なった講演で化学者,開発者の立場からこれを詳述している[→関連文献].
抗菌薬の開発は,ベンゼン環のCの1つをNで置換したピリジンからスタートし,これに二重結合のOを導入したピリドン,さらにこれに様々な残基を導入した50種類以上が試験され,ヨードを導入したものに尿路造影効果があることが発見された.ベンゼン環1個あたりのヨード原子数は多いほど造影効果は強いことから,2ヨード,3ヨード化合物も試みられたが結局耐容性との兼合いから1ヨード化合物で,Nの位置に酢酸ナトリウムを導入した物質 2-oxo-5-iodpyridin-N-acetate sodiumが最良とわかり,Uroselectanの名称で市販された(アメリカではIopax).さらにこれが改良された2ヨード化合物 Uroselectan B (neo-iopax),Diodrastおよびその派生化合物は,その後1950年代に3ヨード化合物が登場するまで約20年にわたって広く臨床に用いられることになった.
関連文献
図5. サルバルサンに続く抗菌薬として開発されたSelectan(左),Selectan-neutral(中)を改良して有機ヨード造影剤Uroselectan(右)が生まれた.
上記2つの論文は,ぞれぞれBinzがアメリカ泌尿器科学会,ドイツ泌尿器科学会で行なった招待講演に基づくもので,基本的に同じ内容であるが,後者の方がより詳しい.
【要旨】Binzは梅毒治療薬サルバルサンの開発者として名高いPaul Ehrlichの後任者の下で,新しい化学療法薬の開発に取り組んでいたが,1921年から独自の研究室を持ち,様々なピリジン誘導体の薬効を研究していた.この過程で開発された残基としてヨードを含む Selectan-Neutralは抗菌薬として一定の成果を挙げたが,臨床試験を行なったLichtwitzはこれに尿路造影剤としての効果があることを発見した.1928年,Lichtwitzの下にアメリカから留学していたSwickが,von Lichtenbergの研究室でこの仕事を続けることになった.Swickの実験で,Selectan-Neutralは耐容性に問題があることがわかり,造影剤として必要な特性として,耐容性,溶解性に富み,ヨード含量の多いことを前提として,化学的,薬理学的に理論的に考察を加えてこれを改良した.この結果,臨床的に優れた造影剤Uroselectanが見いだされた(図5).
【解説】Uroselectanの開発経緯が,詳細に述べられている.特に梅毒治療薬として開発した幾多の化合物の一部に造影能が見いだされたことは偶然であったが,多くの候補物質から目的とする物質を絞り込んで行くその後の開発経緯は,薬理学的構造機能連関に基づく理論的な考察に基づくものであったことが強調されている.前掲のヨウ化ナトリウム(NaI)とともに,尿路造影剤が梅毒治療薬から生まれたことは興味深い.前述のように,Uroselectanの開発をめぐっては,von LichtenbergとSwickの確執があったが,この点についてもSwickの業績であったことが明記されている.企業からの資金調達に苦労したことなどにも触れられており,全体として興味深い科学エッセイとなっている.
低浸透圧造影剤の開発
図6. Metrizamide.初の非イオン性造影剤.ヨードを3個含むベンゼン環に2個のアセチルアミノ基,1個のグルコースがついた構造で,溶液中で電離しないため低浸透圧を実現した.
Uroselectan以降,様々な水溶性有機ヨード造影剤が開発され,尿路造影,血管造影などに広く用いられた.しかし,いずれも注入時に強い熱感,血管痛があり,侵襲の大きな検査であった.スウェーデンの放射線科医Torsten Almén(アルメン,1931~2016)は,血管痛の原因が化学毒性ではなく高浸透圧に起因することを証明し,低浸透圧性造影剤の開発を志した.浸透圧は造影剤の粒子数に比例するため,X線濃度に直接関連するヨード原子数を維持しつつ浸透圧を低減する方法は2つ考えられる.1つは二量体(ダイマー)を作ることにより1分子中のヨード量を2倍にして粒子数を減らす方法,もう1つは溶液中で陽イオン,陰イオンに解離しない非イオン性物質とすることである[→原著論文].
Alménはこの理論に基づいて,新しい非イオン性造影剤の共同開発をいくつかの製薬会社にもちかけたが軒並み門前払いされた.しかし,ノルウェーの小さな製薬会社Nyegaard社が興味を示し,この結果1969年,Metrizamide(メトリザマイド)が誕生した(図6)(1974年,商品名Amipaqueとして発売.同社はこの成功によりノルウェー最大の製薬会社Nycomedへと成長した).Alménは放射線科医であったが,新しい造影剤開発の必要性に迫られて化学,薬理学を学び,みごとに製薬会社との共同開発に成功した[→関連文献].放射線科医が自ら開発した造影剤は,現在に至るまでこのMetrizamideだけである
当初はミエログラフィー用であったが,その後脳血管撮影,四肢血管撮影にも適応が拡大された.しかし,Metrizamideは安定性の問題から水溶液の状態ではオートクレーブによる滅菌ができなかったため,粉末製剤として供給されたものを用時直前に溶解する必要があり取扱いに難があった.また従来品にくらべて10倍以上高価であった.1977年に開発されたIopamidol(イオパミドール,Bracco社),1978年に開発されたIohexol(イオヘキソール,Nyegaard社)は,ベンゼン環のヨード以外の側鎖をすべて親水性水酸基側鎖で置換したもので,用時溶解が不要な水溶液として供給され,比較的廉価であったため,本格的な低浸透圧性造影剤として急速に普及した.これらの低浸透圧性造影剤は,それでも血漿の2~4倍の浸透圧があったが,その後開発された非イオン性分子をさらにダイマーとして粒子数を低減した造影剤Iotrolan(イオトロラン,商品名Isovist,Bayer社)は,等浸透圧を実現した.現在使用されている水溶性ヨード造影剤は事実上すべて非イオン性製剤である.
原著論文
【要旨】現在使用されている血管造影剤はいずれも,ベンゼン環にヨード原子3個を持つものが基本で,ヨード原子が多いため,浸透圧1,500~2,500 mOsmであり,造影剤の毒性の一部はこの高浸透圧に由来する.オリゴマー化,ポリマー化すればヨード含有量を保ったまま浸透圧を低減できるが,すると粘度は上昇する.しかし,ポリマーの粘度は,分子のアスペクト比が1に近いほど小さい.また,非電解性分子は浸透圧が低い.
そこでポリマーの形状が粘度に及ぼす影響を調べるために,グルコース,およびそのポリマーであるデキストラン(鎖状コロイド)とグリコーゲン(球状コロイド)を,オオヒゲコウモリに投与して微小循環への影響を調べた.この結果,微小循環への影響はポリマーの方が小さく,粘度は球状ポリマーの方が低いことがわかった.
また,粘度は分子が小さいほど低く,浸透圧は分子が大きいほど低い.従って,非電解性造影剤が開発できれば分子を大きくすることなく浸透圧を低減できる.現在の造影剤は完全に電離しているが,X線学的情報を持つのはヨードを含む陰イオンだけで,陽イオンは情報は持たないが浸透圧の50%を占める.従って,陽イオンを除去するために非電解性造影剤を開発できれば浸透圧は50%低減し,さらにこれをポリマー化すれば75%低減できる.
【解説】非イオン性造影剤の開発者であるAlménが,その理論的根拠を記述するとともに動物実験によるその低侵襲性を証明したもので,その後の低浸透圧性造影剤開発の基礎となった重要な論文であるが,当時,放射線関連の雑誌にはすべて掲載を拒否され,知名度の低い基礎系の雑誌に掲載された.
造影剤の浸透圧を低減するには,造影剤分子のポリマー化,非イオン化,あるいはその両方が有効であることを述べている.論文の大半はポリマー化の記述に費やされ,非イオン化については最後の1頁余に書かれているのみであるが,最終的にMetrizamideとして実現したのはこの非イオン化理論によるものであった.
Metrizamideに関する実際の基礎研究,臨床成績については,1973年のActa Radiologica Supplementum (335)に,まる一冊,約400頁を費やして計45編の論文がまとめて掲載されており,開発者,研究者の意気込みが感じられる.
関連文献
【要旨】Torsten Almén は,早くから放射線科医として血管造影の臨床,研究に携るうちに,造影剤による血管痛の低減に強い関心をもち,これが化学毒性によるものではなく高浸透圧に起因することを明らかとし,低浸透圧性造影剤の開発を志した.その方法として非イオン性造影剤を設計したが大手製薬会社には共同開発を断られ,ノルウェーのNyegaard社とともにMetrizamideの開発に成功した.Metrizamideは,トリヨードベンゼン環に,1個のグルコースアミド基,4個の水酸基をもち,非イオン性でなおかつ高水溶性で,ヨード原子数/粒子数比3:1の低浸透圧性造影剤で,血管造影ではほとんど無痛であった.Metrizamideを基本として,その後数々の造影剤が開発され,現在では全世界で推計7,500トンの非イオン性造影剤が使用されるに至っている.
Almenの最初の論文の査読には,「理論は一般的にはおそらく正しい.しかし,その実装はおそらく非現実的である.ヨード化合物の解離性が,その水溶性にとって本質的なものであることを著者は理解していないように思える」と書かれていた.
【解説】非イオン性造影剤Metrizamideを開発したTorsten Alménの追悼記事で,Alménの指導を受けた同じ施設の放射線科医によるものであるが,血管造影剤の歴史に始まり,低浸透圧性造影剤開発の経緯を裏話を含め,Metrizamideおよび関連化合物の構造について,原著論文には書かれていない詳細をふくめ,分かりやすく解説されている.
半世紀に及ぶ水溶性造影剤の歴史を経て,造影剤はイオン性であることが必須と信じられていた当時,非イオン性造影剤のアイデアは全くの非常識で,まず論文がまともな放射線関係のジャーナルにはアクセプトされず,あまり知られていない基礎系の雑誌に,それも批判的なレビューで掲載されたこと,ましてや製薬会社は共同開発をもちかけてもとりあってくれず,研究資金を申請しても「若い医者の趣味には付き合えない」と言われたことなども綴られている.
出典
- 1. Haschek E. Ein Beitrag zur praktischen Verwerthung der Photographie nach Röntgen. Wien Klin Wochenschr. Nr.4 (23 Januar), 1896
- 2. Becher W. Zur Anwendung des röntgenischen Verfahrens in der Medizin. Dtsch Med Wochenschr 22:202,1896
- 3. Dutto U. Fotografi del sistema arterioso ottenute con raggi Röntgen. Rendic Reale Acad Lincei 5:129,1896
- 4. A. Voelcker F, Lichtenberg A. Pyelographie (Roentgenogaphie des Nierenbeckens nach Kollargolfüllung). Münch Med Wochenschr 53:105-7,1906
- 5. Cameron DF. Comparative study of sodium iodid as an opaque medium in pyelography. Arch Surg 1:184-214,1920
- 6. Grainger RG. Intravascular contrast media - the past, the present and the future. Brit J Radiol. 55:1-18,1981
- 7.Roseno A. Studien zur intravenösen Pyelographie. Verh Dtsch Ges Urol 8:1165-70,1929
- 8. Wallingford VH. Decker HG, Kruty M. X-ray contrast media. I. Iodinated acylaminobenzoic acids. J Am Chem Soc 74:4365-68,1952
- 9. Moore T, Mayer R. Hypapaque: improved medium for excretory urography. Preliminary report of 210 cases. South Med J 48:135-41,1955
- 10. Hoey GB, Rands RD, DeLaMater G, et al. Synthesis of derivatives of isophthalamic acid as x-ray contrast agents. J Med Chem 6:24-6,1963
- 11. Thomsen HS, Muller RN, Mattrey RF eds. Trends in contrast media. (Springer, 1999)
- 12. 杉井善雄,神藤英保. 腎盂造影剤の合成(第二報). 薬学雑誌 51:416-8,1931
- 13. 高橋明, 土屋文雄,石津俊. 本邦製の一腎盂造影剤(静脈注射用) β, β'-Dijod-α-Pyridon-N-essigsauresnatrium (杉井,神藤)の実験成績に就て. 日本泌尿器科学会雑誌 22:63-82,1933